Kombinatorik adalah cabang matematika yang berfokus pada penghitungan jumlah cara dalam menyusun, memilih, atau mengelompokkan objek-objek tertentu. Salah satu sub-bab penting dalam kombinatorik adalah pencacahan atau counting, yaitu metode menghitung jumlah kemungkinan dalam berbagai situasi. Pencacahan biasanya melibatkan konsep seperti permutasi dan kombinasi, yang keduanya memiliki aturan yang berbeda dalam mengatur objek.
1. Permutasi dan Kombinasi
Sebelum masuk ke contoh soal, mari kita bahas perbedaan antara permutasi dan kombinasi:
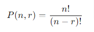
Permutasi: Digunakan ketika urutan atau susunan objek dianggap penting. Contohnya, susunan huruf dalam sebuah kata atau posisi duduk dalam barisan.Rumus permutasi untuk n objek yang diambil r adalah

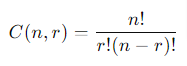
Kombinasi: Digunakan ketika urutan tidak penting. Misalnya, pemilihan tim dari beberapa anggota, di mana susunan tidak menjadi perhatian.Rumus kombinasi untuk n objek yang diambil r adalah

Mari kita masuk ke beberapa contoh soal untuk memahami lebih lanjut.
Contoh Soal dan Pembahasannya
Soal 1: Susunan Buku dalam Rak
Di sebuah rak terdapat 5 buku berbeda. Berapa banyak cara untuk menyusun kelima buku tersebut secara berurutan?
Pembahasan: Karena semua buku berbeda dan urutan penting, ini adalah kasus permutasi dari 5 objek yang diambil 5.

Jadi, ada 120 cara untuk menyusun kelima buku tersebut.
Soal 2: Kombinasi Tim Olahraga
Sebuah tim olahraga ingin memilih 3 pemain dari 10 calon pemain untuk mengikuti sebuah pertandingan. Berapa banyak cara tim dapat dibentuk?
Pembahasan: Karena urutan tidak penting, ini adalah kombinasi dari 10 objek yang diambil 3.

Jadi, ada 120 cara untuk memilih 3 pemain dari 10 calon.
Soal 3: Penyusunan Huruf dalam Kata
Berapa banyak cara menyusun huruf-huruf dari kata “RAM”?
Pembahasan: Ini adalah kasus permutasi dari 3 huruf yang semuanya berbeda.

Jadi, ada 6 cara untuk menyusun huruf-huruf dari kata “RAM”.
Soal 4: Pemilihan Ketua dan Wakil
Dari 8 orang calon, sebuah organisasi memilih ketua dan wakil ketua. Berapa banyak cara pemilihan bisa dilakukan?
Pembahasan: Karena posisi ketua dan wakil ketua berbeda (urutan penting), ini adalah permutasi dari 8 objek yang diambil 2.

Jadi, ada 56 cara memilih ketua dan wakil ketua.
Soal 5: Kombinasi Makanan
Dari 5 jenis makanan, seorang pelanggan ingin memilih 3 untuk dibeli. Berapa banyak cara pelanggan bisa memilih makanannya?
Pembahasan: Urutan tidak penting, jadi ini adalah kombinasi.

Ada 10 cara untuk memilih 3 jenis makanan dari 5.
Soal 6: Pengaturan Kegiatan
Seorang siswa memiliki 4 kegiatan (A, B, C, D) dalam sehari dan ingin mengatur urutan kegiatan tersebut. Berapa banyak urutan berbeda yang bisa diatur?
Pembahasan: Ini adalah permutasi dari 4 objek yang diambil 4.

Jadi, ada 24 cara untuk mengatur kegiatan tersebut.
Soal 7: Pemilihan Delegasi
Sebuah organisasi memiliki 12 anggota dan ingin memilih 5 orang untuk menjadi delegasi dalam suatu konferensi. Berapa banyak cara pemilihan bisa dilakukan?
Pembahasan: Karena urutan tidak penting, ini adalah kombinasi.

Ada 792 cara memilih 5 orang dari 12 anggota.
Soal 8: Pengurutan Angka
Berapa banyak susunan berbeda yang dapat dibuat dari angka 1, 2, 3, 4, 5 tanpa ada angka yang berulang?
Pembahasan: Ini adalah permutasi dari 5 angka.

Ada 120 susunan berbeda.
Soal 9: Memilih dari Menu
Di sebuah kafe, tersedia 7 jenis minuman. Pelanggan ingin memilih 4 jenis minuman. Berapa banyak cara pelanggan bisa memilih minuman?
Pembahasan: Ini adalah kombinasi.

Ada 35 cara untuk memilih 4 minuman dari 7 jenis yang tersedia.
Soal 10: Formasi dalam Tim
Dalam suatu permainan, ada 10 peserta yang bisa ditempatkan dalam posisi A, B, dan C. Berapa banyak cara menempatkan 3 orang dalam posisi tersebut?
Pembahasan: Ini adalah permutasi karena posisi berbeda.

Ada 720 cara untuk menempatkan 3 orang dalam posisi berbeda.
kalau kamu memiliki kesulitan belajar materi kombinatorik dan butuh bimbingan, les matematika saja di zigmaeducaion.com